- Research Note
- Open access
- Published:
Optimizing seedling production for the conservation of the threatened Dyckia rariflora (Bromeliaceae)
BMC Research Notes volume 17, Article number: 354 (2024)
Abstract
Objectives
In vitro seed propagation can enhance plant species growth and enable the rapid production of seedlings while preserving genetic variability. This study aimed to develop in vitro seed propagation and acclimatization protocols for Dyckia rariflora to support conservation efforts of this bromeliad endemic to ferruginous campos rupestres. Seed germination and plant growth were tested using MS (Murashige & Skoog) culture medium with varying salt concentrations, sucrose levels, and the presence or absence of polyvinylpyrrolidone (PVP). Following these treatments, seedlings were acclimatized after removal from the controlled environment.
Results
Germination rates varied between 65 and 90%, unaffected by treatment. The highest germination speed index was in half MS salts without PVP, while full MS salts, sucrose, and PVP slowed germination. Half MS salts resulted in seedlings with greater height, more leaves, and longer roots. Complete MS salts were less effective. No seed oxidation was observed. After 120 days of acclimatization, survival rates exceeded 70%, with plants in half MS salts and 15 g sucrose showing the best growth. In vitro propagation of D. rariflora is viable for large-scale plant production, with half MS salt and sucrose concentrations, without PVP, recommended for better plant growth and cost reduction.
Introduction
Dyckia rariflora Schult. & Schult.f. is an endemic species of Bromeliaceae found exclusively in the ironstone rocky outcrops, or canga areas, of the Quadrilátero Ferrífero in Minas Gerais state, southeastern Brazil [1, 2]. Described in 1889, D. rariflora has a restricted distribution, occupying an area of merely 36 km2. This species has adapted to thrive in its specialized habitat within the canga ecosystems, marked by high radiation, temperature, and water regime seasonality with severe water restrictions, shallow and acidic soils with high levels of metals, and low nutrient availability for plant metabolism [3, 4]. Despite the historical land use of these areas as natural pastures and urbanization, ongoing mining activities have significantly increased the pressures on its limited habitat [5]. The encroachment and environmental degradation resulting from these activities pose a severe risk to the survival of D. rariflora. In fact, this species is currently listed as "Endangered" on the Brazilian Ministry of Environment's list of threatened plants, thereby requiring urgent conservation measures to prevent its potential extinction [2]. Although specific information about the uses of D. rariflora is missing, species within the Dyckia genus are cultivated for their ornamental value and are particularly sought after by collectors of rare plants [6].
Research on the propagation of threatened species is a crucial initial step in conservation programs, as it ensures their continued presence in their natural habitat by reinforcing natural populations, improving gene flow, and favoring ex situ conservation. In vitro propagation techniques offer a promising solution for producing large quantities of seedlings in a short period [7, 8], enhancing growth rates and maintaining. In the case of D. rariflora, propagation in the natural environment occurs via seeds [5]. Developing a propagation method that optimizes limited reproductive material is thus necessary for effective species management, slow growth and high mortality rates, as observed for many Bromeliaceae species, are significant obstacles to upscale the production of healthy seedlings [9, 10].
In vitro techniques, particularly seed culture methods, have been widely used for the propagation of rare and endangered bromeliads [11, 12]. These methods allow for faster and higher seed germination and plant growth compared to natural environments, ensuring better use of the usually restricted propagating materials of rare species to produce disease-free plants [10]. However, the success of in vitro propagation depends on various factors, such as the type of culture medium, seed maturity, the growth regulator used (when required), nutrients concentration, and carbohydrate source, among others [12, 13]. In fact, some orchids and bromeliads can demonstrate robust germination and growth in diluted nutrients concentrations in the media, highlighting the importance of optimizing growth conditions specific to each species [14].
In this work, we aimed to develop a propagation protocol for D. rariflora to produce high-quality seedlings on a large scale, which is crucial for aiding conservation programs for this species. Conservation plans require large quantities of seeds, a thorough understanding of the reproductive biology of species, and efficient methods of propagation and planting. However, even for non-endangered species, it is often challenging to provide sufficient seeds or other propagules for recovery, let alone for conservation restoration. To improve the chances of success with the limited seeds available in the natural environment, we evaluated the feasibility of developing an in vitro seed propagation protocol for D. rariflora.
Methods
The seeds used in this study were collected from plants mapped in the field within the natural occurrence area of D. rariflora, near the Brucutu mining complex in the municipality of Barão de Cocais, Minas Gerais state, Brazil. Previous field botanical surveys at this site identified the plants of D. rariflora, and vouchers were deposited in the herbaria BHZB under the number 205814. Access to the plants at this location was kindly granted by Vale S.A. After collection, the seeds were stored for one month at room temperature. In vitro propagation was conducted at the Plant Growth Laboratory of the Vale Technological Institute for Sustainable Development in Belém, Pará, Brazil. The seeds were first disinfected by immersion in 70% ethanol with agitation for three minutes, followed by submersion in a 2% NaClO solution for 20 min with agitation, and then washed five times in autoclaved distilled water. Subsequently, the seeds were individually inoculated into test tubes containing 10 mL of MS culture medium [15]. The culture medium was modified to include variations in salt concentrations (50% or 100%), sucrose (15 g or 30 g), and the antioxidant agent polyvinylpyrrolidone (PVP; presence or absence), resulting in eight different treatments. All materials were transferred to a plant growth chamber (Fitotron® SGC 120, Weiss Technik, Loughborough, UK) under controlled environmental conditions (12-h photoperiod and constant temperature of 25 °C). The germination period was evaluated over 30 days, concluding upon complete germination. The experimental design was completely randomized, with 20 replications, each containing one seed per tube. The evaluated variables were germination percentage and germination speed index (GSI) as follows:
where 'n' is the percentage of seeds that germinated at time 'i', while 't' is the time after seed inoculation.
After germination assessment, the seedlings remained in the same medium and cultivation conditions for four months, during which growth variables such as leaf number, seedling height, root number, and root length were evaluated. After this period, the rooted seedlings were removed from the in vitro conditions and washed in running water to remove the culture medium. The seedlings were then transferred to plastic trays with 51 cells (74.87 cm3 each) filled with commercial organic substrate (Carolina Soil®). The trays were covered with transparent plastic film to maintain high relative humidity. Irrigation was carried out daily or as needed through spraying. The trays were placed in a cultivation room with a day: night temperature of 28: 22 °C and a 12-h photoperiod. Traceability of the in vitro culture was maintained to monitor the seedlings' development. After 120 days, survival rate, leaf number, and seedling height were evaluated.
A completely randomized design was used, and we used GLM with Binomial distribution to outline the germination and survival percentage. To delineate the growth on the shoot and root, data were subjected to One-way ANOVA (p < 0.05) and compared by Tukey´s. The data were processed in the R environment with the assistance of the RStudio 1.3.1 interface [16].
Results
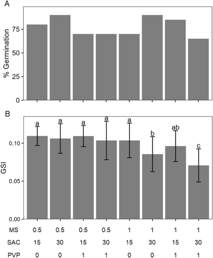
Germination started on the eighth day after inoculation, with rates ranging between 65 and 90%, with no significant differences between treatments and without the need for dormancy breaking (Fig. 1A). The highest germination speed index (GSI) was achieved in treatments using half MS salts without PVP. Germination was slower in the medium with complete MS salts, sucrose, and PVP (Fig. 1B). The seeds showed an average viability rate of 83.3% (data not shown).
Seed germination rate and Germination Speed Index (GSI) of Dyckia rariflora in MS medium modified for salts (50% = 0.5, 100% = 1), PVP (0 = absence, 1 = presence) and sucrose (g). The error bar represents the means ± standard deviation, and different letters indicate significant differences between treatments after a Tukey test (P < 0.05)
Significant differences were detected among the media used for all growth variables. Treatments with half MS salts resulted in seedlings with greater height, more leaves, and a greater number and length of roots (Fig. 2), where greater plant height and number of leaves were observed in the treatments 0.5 MS + 15 sac, 0.5 MS + 30 sac, both without PVP, and 0.5 MS + 30 sac with PVP (Fig. 2A, C, D). The treatments with complete MS salts were not promising for the in vitro growth of D. rariflora. Seed oxidation was not observed in any of the treatments, including those lacking PVP.
Effect of salt concentration of MS medium (50% = 0.5, 100% = 1), PVP (0 = absence, 1 = presence) and sucrose (g) on the in vitro growth of Dyckia rariflora. The error bar represents the means ± standard deviation, and different letters indicate significant differences between treatments after a Tukey test (P < 0.05)
At 120 days of acclimatization, high survival rates of D. rariflora individuals were recorded (above 70%), with no significant differences among the culture media used. For shoot growth, plants from treatments with both complete and half MS salts, along with the addition of 15 g of sucrose and PVP, exhibited greater height and more leaves. Conversely, plants grown in the medium with complete salts, 30 g of sucrose, and PVP showed lower growth (Fig. 3).
Dyckia rariflora seedlings. A– 50%MS + 15g Sucrose + 0 PVP, B- 50%MS + 15g Sucrose + PVP, C- 50%MS + 30g Sucrose + PVP, D- 50%MS + 30g Sucrose + PVP, E- 100%MS + 15g Sucrose + 0 PVP, F- 100%MS + 15g Sucrose + PVP, G- 100%MS + 30g Sucrose + 0 PVP, H- 100%MS + 30g Sucrose + PVP, I- survival percentage after 120 days of acclimatization. (Bar: 1 cm). The error bar represents the means ± standard deviation, and different letters indicate significant differences between treatments after a Tukey test (P < 0.05)
Discussion
The various combinations of salts, sucrose, and PVP in the culture medium did not significantly influence the germination of D. rariflora seeds, as high germination rates were observed across all tested media. This suggests that seed germination in this species is primarily determined by the utilization of seed reserves, regardless of the substrate used. Similar observations of high seed germination percentages in various environmental conditions have been reported for other species within the Dyckia genus [17, 18], indicating that germination may not be a limiting factor for these species. However, the lower germination speed index (GSI) observed in our study for treatments with complete MS salts may be attributed to the reduced water availability in these media, resulting in decreased water potential and a slower germination process. Therefore, while the germination of D. rariflora seeds appears to be robust across different culture medium conditions, changes in water availability seem to have a significant impact on the germination process.
The treatments with half MS salts concentration and sucrose were the most promising for the in vitro growth of the species. Although the MS culture medium is the most widely used for in vitro propagation of various species [10, 19], the reduction of salts and sugars in this medium has favored growth for many species [20], including bromeliads such as Vriesea incurvata [10], Nidularium minutum [21], Aechmea bromeliifolia [22], and Bromelia antiacantha [23]. In the case of D. rariflora, physiological adaptation to the canga environment may have contributed to lower nutritional requirements. Limiting factors of this environment, such as acidic soil, few nutrients availability, and high concentrations of potential toxics elements, likely influence the species' development, as well as on the evolutionary process of adaptation to the extreme conditions of canga [4, 24].
Some bromeliads develop well in diluted MS medium, possibly due to their endogenous needs and the efficiency of some species in nutrient absorption [14]. Despite being moderately saline, MS medium presents high ionic concentration, and for some plant species, the ion absorption capacity is higher when they are grown in medium with lower salt concentrations [25]. Certain bromeliad species such as Alcantarea imperialis can tolerate such salt concentrations and have better explants development in MS medium at its original concentration [26]. Conversely, and consistent with our results, better in vitro growth conditions for another species of the genus Dyckia (Dyckia vicentensis) were also observed in MS medium with half salt concentration [27].
Although not tested, the lower growth during acclimatization observed for the seedlings of D. rariflora previously grown on high salts and sucrose may be linked to the development of few functional stomata, thin cuticle, and poorly developed palisade parenchyma. Such physiological and morphological adaptations are frequently observed for plants grown in favorable conditions (high humidity, low light, high nutrient and carbohydrate concentrations, etc.) [10], and may impair plant growth and require adjustments to thrive in a fluctuating atmosphere. Beyond the challenge of the atmosphere, the transition to the ex vitro environment imposes changes on the seedlings to enable them to shift from a heterotrophic to an autotrophic metabolism [28, 29]. Therefore, it is possible that the reduction of salts in the culture medium favored the development of D. rariflora seedlings less dependent from the nutrients on the media, with more functional stomata for photosynthesis, thus promoting better growth.
Conclusion
This study underscores the potential of using in vitro techniques for the conservation of rare and endangered plant species by producing large quantities of healthy seedlings efficiently. However, salt and carbohydrate concentrations and growth regulators may require species-specific adjustments. Implementing such propagation protocols can support conservation efforts, offering a viable method to mitigate the pressures from habitat destruction and ensure the survival of the species.
Limitations
In this study, limitations arose due to the status of the species as threatened and the need to rely on seeds from wild populations, where careful attention was given to minimize harvesting and thus avoid disrupting natural recruitment in their habitat. This constraint led to limited seed availability, which, in turn, restricted our ability to assess certain critical propagation traits, such as seed longevity and long-term viability.
Availability of data and materials
The datasets used and/or analyzed during the current study are available from the corresponding author on reasonable request.
Abbreviations
- MS:
-
Murashige & Skoog
- PVP:
-
Polyvinylpyrrolidone
- GSI:
-
Germination speed index
References
Leles B, Chaves AV, Russo P, Batista JAN, Lovato MB. Genetic structure is associated with phenotypic divergence in floral traits and reproductive investment in a high-altitude orchid from the iron Quadrangle. Southeastern Brazil PLoS ONE. 2015;10:1–19.
Martinelli G, Moraes MA. Livro vermelho da flora do Brasil. 1st edition. Rio de Janeiro: instituto de Pesquisas Jardim Botânico do Rio de Janeiro; 2013.
Silva WA. Gradiente Vegetacional e Pedológico em Complexo Rupestre de Quartzito no Quadrilátero Ferrífero, Minas Gerais. Brazil: Universidade Federal de Viçosa; 2013.
Skirycz A, Castilho A, Chaparro C, Carvalho N, Tzotzos G, Siqueira JO. Canga biodiversity, a matter of mining. Front Plant Sci. 2014;5:1–9.
Ribeiro OB de C. Dyckia (Bromeliaceae): Espécies do gênero e endemismos nos campos ferruginosos no Brasil. Universidade Federal de Viçosa; 2022.
Guarçoni EAE, Santos-Silva F, Forzza RC. Dyckia in Flora e Funga do Brasil. Jard Botânico Rio Jan. 2020.
Tiawoun MAP, Tshisikhawe MP, Gwata ET. Propagation potential for the conservation of Brackenridgea zanguebarica Oliv., a critically endangered plant species endemic to Vhembe District in Limpopo Province (South Africa). J Appl Bot Food Qual. 2020;:59–65 Pages.
Megersa HG. Propagation methods of selected horticultural crops by specialized organs: review. J Hortic. 2017;4:2.
Bertsouklis K, Panagaki K-P. In Vitro germination and propagation of Dyckia brevifolia, an ornamental and endangered bromeliad. Horticulturae. 2022;8:390.
Sasamori MH, Júnior DE, Droste A. Baixas concentrações de macronutrientes beneficiam a propagação in vitro de Vriesea incurvata (Bromeliaceae), uma espécie endêmica da Floresta Atlântica. Brasil Rodriguesia. 2016;67:1071–81.
da Silva TC, Luiz C, de Oliveira MT, Borghezan M, Pescador R, Fermino Junior PCP. Physiological responses of Aechmea setigera Mart. ex Schult. & Schult. f. (Bromeliaceae) in vitro cultured. J Biotechnol Biodivers. 2022;10:016–25.
Utami ESW, Hariyanto S. In vitro seed germination and seedling development of a rare indonesian native orchid phalaenopsis amboinensis J.J.Sm. Scientifica. 2019;2019:1–6.
Gupta N, Jain V, Joseph MR, Devi S. A review on micropropagation culture method. Asian J Pharm Res Dev. 2020;8:86–93.
Meneghetti EC, De Oliveira LS, De Almeida M. In vitro multiplication of Neoregelia johannis (Carriére) L. B. Smith in liquid medium under diferent concentrations of nutrients. Iheringia Ser Bot. 2019;74:e2019012.
Murashige T, Skoog F. A Revised Medium for Rapid Growth and Bio Assays with Tobacco Tissue Cultures. Physiol Plant. 1962;15:473–97.
R Development Core Team. R: A Language and Environment for Statistical Computing. 2020.
Vieira DCM, Socolowski F, Takaki M. Germinação de sementes de Dyckia tuberosa (Vell.) Beer (Bromeliaceae) sob diferentes temperaturas em luz e escuro. Rev Bras Bot. 2007;30:183–8.
Moresco VP, Omura MS, Paula JCB, Furlan FF, Takahashi LSA. Physiological potential of Dyckia spp. bromeliad seeds under different temperatures. Semin Agrar. 2021;42:2639–50.
Gago D, Vilavert S, Bernal MÁ, Sánchez C, Aldrey A, Vidal N. The effect of sucrose supplementation on the micropropagation of salix viminalis l. Shoots in semisolid medium and temporary immersion bioreactors. Forests. 2021;12:1408.
Wulansari A, Ermayanti TM, Hafiizh EA, Hapsari BW, Maulana E. Modification of media compositions for micropropagation of Acorus calamus L . 2023;11:1–13
Kurita FMK, de Machado BM, Teixeira NB, Camilla, de César CGA, Nievola CC, et al. Fenologia, cultivo in vitro e aclimatização da bromélia ameaçada de extinção Nidularium minutum Mez. Biotemas. 2014;27:59–69.
Fráguas CB, Pasqual M, Dutra LF, Chagas EA. Desenvolvimento in vitro de plântulas de bromélia: sacarose e concentrações do meio MS. Rev Científica Rural. 2002;7:55–63.
Cipriano R, Paulo J, Martins R, Carlos L, Rodrigues DA, Falqueto AR, et al. Impact of saline solution on growth and photosystem II during in vitro cultivation of Bromelia antiacantha ( Bromeliaceae ). Rodriguésia. 2021;72:2–10.
Nunes JA, Schaefer CEGR, Júnior WGF, Neri AV, Correa GR, Enright NJ. Soil-vegetation relationships on a banded ironstone ‘island’, Carajás Plateau, Brazilian Eastern Amazonia. An Acad Bras Cienc. 2015;87:2097–110.
Vilariño S, del Florido MC, García JL, Cantos M. Effects of culture system and substrate composition on micropropagated plantlets of two varieties of Stevia rebaudiana Bert. Physiologia. 2023;3:74–85.
Naves VC, de Oliveira Paiva PD, Paiva R, Pasqual M, Paiva LV. Avaliação de diferentes concentrações dos meios de cultura MS e Knudson para propagação in vitro da bromélia-imperial. Rev Bras Hortic Ornam. 2003;9:161–6.
Flores R, Kraetzig LC, Flôres PZ, Pereira DN, Büneker HM, Maldaner J, et al. Propagation of Dyckia vicentensis, an endemic bromeliad of the Pampa biome. Brazil Rodriguésia. 2018;69:2229–35.
Irsyadi MB. Factors that effect of the optimal plantlet growth from tissue culture on the acclimatization stage. Proc Intern Conf Sci Engin. 2021;4:100–4.
Mohammed M, Munir M, Ghazzawy HS. Design and evaluation of a smart ex vitro acclimatization system for tissue culture plantlets. Agronomy. 2023;13:78.
Acknowledgements
The authors are grateful to Vale S/A for granting access to the site where seeds were harvested. CFC and MG acknowledge support from CNPq productivity scholarship (grant number: 311637/2022-1 and 310865/2022-0, respectively).
Funding
This research was funded by Instituto Tecnológico Vale project “Plantas do QF” (grant number R100603.EQ.01).
Author information
Authors and Affiliations
Contributions
Designed research: GMS, EAV, LPN and CFC; Performed research: GMS, LPN, LBG, and CFC; Analyzed Data: GMS, EAV and CFC; Wrote the paper: GMS, EAV, LPN, SJR, MG and CFC.
Corresponding author
Ethics declarations
Ethics approval and consent to participate
Not applicable.
Consent for publication
Not applicable.
Competing interests
The authors declare no competing interests.
Additional information
Publisher's Note
Springer Nature remains neutral with regard to jurisdictional claims in published maps and institutional affiliations.
Rights and permissions
Open Access This article is licensed under a Creative Commons Attribution-NonCommercial-NoDerivatives 4.0 International License, which permits any non-commercial use, sharing, distribution and reproduction in any medium or format, as long as you give appropriate credit to the original author(s) and the source, provide a link to the Creative Commons licence, and indicate if you modified the licensed material. You do not have permission under this licence to share adapted material derived from this article or parts of it. The images or other third party material in this article are included in the article’s Creative Commons licence, unless indicated otherwise in a credit line to the material. If material is not included in the article’s Creative Commons licence and your intended use is not permitted by statutory regulation or exceeds the permitted use, you will need to obtain permission directly from the copyright holder. To view a copy of this licence, visit http://creativecommons.org/licenses/by-nc-nd/4.0/.
About this article
Cite this article
da Silva, G.M., Vieira, E.A., Neto, L.P. et al. Optimizing seedling production for the conservation of the threatened Dyckia rariflora (Bromeliaceae). BMC Res Notes 17, 354 (2024). https://doi.org/10.1186/s13104-024-07001-5
Received:
Accepted:
Published:
DOI: https://doi.org/10.1186/s13104-024-07001-5


